TCDD, DHMİ ve Toprak Mahsulleri Lise Mezun 98 Memur ve Kamu Personeli Alımı
T.C. Devlet Demir Yolları, Devlet Hava Meydanları İşletmesi ve Toprak Mahsulleri Ofisi Genel Müdürlükleri lise mezunu 98 memur ve kamu personeli alımı yapıyor. TCDD, DHMİ ve Toprak Mahsulleri başvuruları başlamış olup 8 Temmuz tarihinde sona erecek.
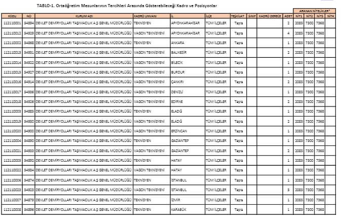
TCDD, DHMİ ve TMO lise mezunu 98 memur alımı ve kamu personeli alımı başvuruları başladı. T.C. Devlet Demiryolları, Devlet Hava Meydanları İşletmeleri ve Toprak Mahsulleri Ofisi alımları 33 şehre yapacaktır.
Hangi Şehirler Alımı Yapacağı Listesi
Burdur, Afyonkarahisar, Ankara, Balıkesir, Bilecik, Çankırı, Denizli, Edirne, Elazığ, Erzincan, Gaziantep, Hatay, İstanbul, İzmir, Karabük, Karaman, Kars, Kayseri, Kırıkkale, Kırklareli, Kocaeli, Kütahya, Malatya, Manisa, Sakarya, Samsun, Sivas, Uşak, Zonguldak, Ağrı, Nevşehir, Kırşehir ve Tekirdağ olmak üzere toplam 33 şehir alımı gerçekleştirecektir.



Adaylar bu ilana ÖSYM üzerinden KPSS 2021/1 merkezi atama kapsamında 8 Temmuz bitimine kadar elektronik ortamda yapması istenmektedir.
Kaynak:kamupersonelialim.com



Türkçe karakter kullanılmayan ve büyük harflerle yazılmış yorumlar onaylanmamaktadır.